BocaPhysics: Synchrotron Radiation Power Radiated Derivation

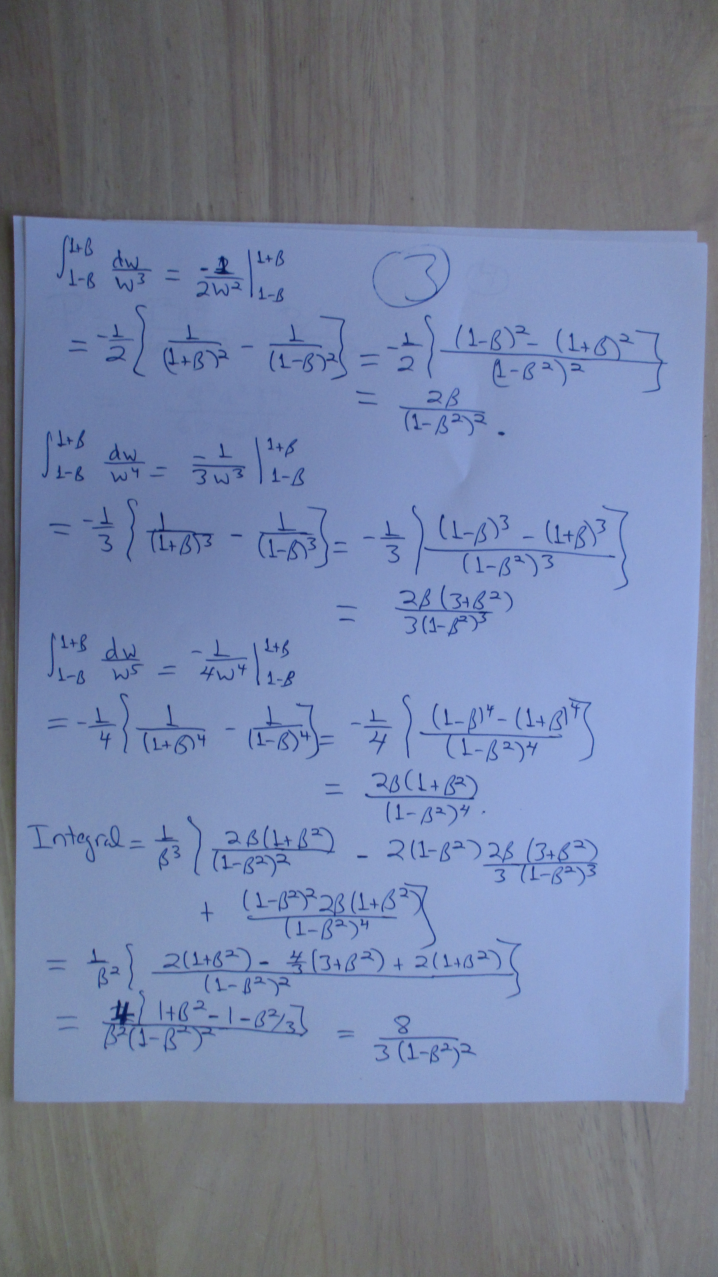
The complete derivation of the power radiated due to a point charge is given below.

Page 1

Page 2

Page 3

Page 4

BocaPhysics Lectures

BocaPhysics Home