BocaPhysics: Lienard-Wiechert Fields Derivation

The complete derivation of the Lienard-Wiechert Fields due to a point charge is given below.

Page 1

Page 2

Page 3

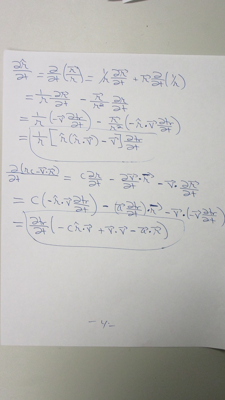
Page 4

Page 5

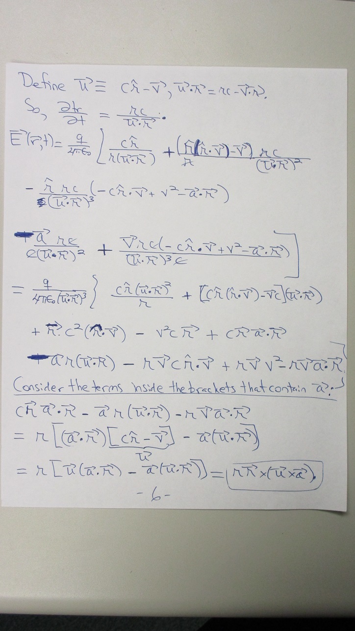
Page 6

Page 7

Page 8

Page 9

Page 10

BocaPhysics Lectures

BocaPhysics Home